1. Learning
- 에이전트가 작업 수행 능력을 향상시키는 과정
- Supervised Learning: 입력-출력 쌍(label) 예제를 보고 입력 → 출력 매핑 함수 학습
- Semi-supervised Learning: 라벨 있는 데이터는 일부만 있고, 대부분은 라벨 없음. 라벨 없는 데이터도 활용해서 학습
- Unsupervised Learning: 라벨 없이, 데이터 안에 숨어 있는 패턴을 스스로 발견
- Reinforcement Learning: 보상 또는 벌점을 받아가며 행동을 학습
2. Supervised Learning
- 우리가 가지고 있는 건 입력-출력 쌍 (𝑥₁, 𝑦₁), ..., (𝑥ᴺ, 𝑦ᴺ) 으로 구성된 학습 데이터셋
- 이때 각 𝑦ᵢ는 알 수 없는 함수 f(x) 에 의해 생성된 출력
- 목표 : 정답을 생성한 진짜 함수 f(x)를 흉내낼 수 있는 함수 h(x)를 찾는 것
- 학습이란 결국 ℋ 안에서 가장 좋은 함수 ℎ를 탐색하는 과정
- 이 함수는 새로운 입력이 들어왔을 때도 잘 예측하는 함수여야 함 → 일반화
- Classification은 discrete한 카테고리 y가 결과
- Regression은 continuous한 real 값 y가 결과(샘플을 가장 잘 근사할 수 있는 line 찾기)
- 지도 학습은 확률 관점에서도 정의할 수 있음 : 가장 가능성 높은 h를 찾는 것

3. Linear Classifiers
- 입력 벡터 x에 대해, 어떤 직선을 기준으로 두 클래스 중 하나로 분류하는 모델
- 카테고리를 seperate하는 line 찾기
- Decision boundary : 두 클래스를 나누는 선
- Hypothesis : ℎ𝑤(𝑥) = 1 if 𝑤⋅𝑥 ≥ 0 and 0 otherwise
- Threshold(z) = 1 if z ≥ 0 and 0 otherwise
4. Linear Regression
- 입력값 x와 출력값 y 사이의 관계를 설명하려고 하는 통계모델
- 주어진 데이터를 가장 잘 설명할 수 있는 직선 형태의 함수를 찾는것이 목적
- Univariate Linear Regression : y = hw(x) = w1x+w0
- w0, w1 두 파라미터는 학습을 통해 결정됨
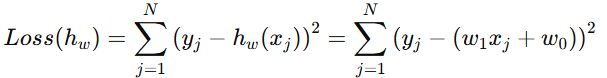
- Loss Function : Squared Error(L2 손실함수)

- Least Squares Estimator(최소제곱추정) : 앞서 정의한 손실함수를 최소화하는 파라미터 w를 찾는것이 목표

- 최소점을 찾기 위해 파라미터(w0, w1)에 대한 편미분을 0으로 만들기
5. Gradient Descent
- 현재 파라미터 위치에서 손실 함수의 기울기(gradient)를 계산해서 그 반대 방향으로 이동
- 기울기는 방향을 정의
- 점점 손실이 줄어드는 쪽으로 이동하다 보면 최적점에 도달함
- 최저점에 도달하는 w0, w1조합을 찾기

- Batch Gradient Descent : 모든 데이터를 한꺼번에 사용해서 파라미터 업데이트

- Stochastic Gradient Descent (SGD) : 데이터를 하나씩 사용해서 파라미터 업데이트
- Mini-Batch Gradient Descent : 위 두 방법의 중간 방식. 일정한 크기의 데이터 묶음(배치) 사용
- α가 너무 크면 빠르게 수렴하지만 손실이 줄어들지 않고 진동하거나 발산할 수 있음
- α가 너무 작으면 안정적이지만 수렴까지 오래 걸림
6. Multivariate Linear Regression
- 원래 형태의 선형 회귀식 :

- 절편을 내적에 포함시키기 위해 입력 벡터를 바꾸기 :

- 바뀐 예측 함수의 형태 :

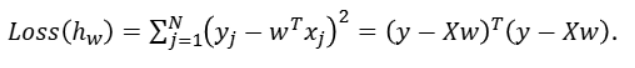
- Squared Error loss(l2)를 최소화하는 w찾기

- y와 X를 행렬이라고 생각하고 loss 함수를 정의하면 다음과같음

- 위 함수를 w에 대해 미분하고 0으로 설정해 최소값을 찾으면

- 만약 가 역행렬이 존재(invertible)하면, 해를 다음과같이 구할 수 있음

7. Least Squares and MLE
- 목표는 입력 X에 대해 선형함수 f(X) = Xw로 출력 y를 예측하는 것
- 은 평균이 0인 가우시안(정규분포) 노이즈

- MLE : 주어진 파라미터 w에 대해 데이터 (xi,yi)가 나올 확률이 가장 높은 w를 찾는 방법
log-likelihood를 최대화하는 것이 목표!

- 정규분포 가정 하에 최소제곱법으로 구한 w 가 최대우도추정(MLE) 결과와 같음
8. General Linear Model
- 일반적인 선형 회귀의 확장된 형태로, 비선형 함수 기반의 선형 조합 사용

| Generalization (0) | 2025.04.19 |
|---|---|
| Regression(2) (0) | 2025.04.18 |
| Classification(3) (0) | 2025.04.16 |
| Classification(2) (0) | 2025.04.15 |
| Classification(1) (0) | 2025.04.15 |